超低音定向辐射
1970/01/01 19:07 点击:500 / 回复:0
帅英年
大家知道,超低音箱具有圆形的指向特性(俗称没有指向性)。但在工程实际中,由于场地限制等原因,有时希望它能定向辐射。
为了实现超低音的定向辐射,需要两只以上的超低音箱。鉴于超低音箱的频带较窄,因此,适当的间置和延时,即可利用干涉现象使向某些方向的辐射减弱、某些方向的辐射加强,从而在一定程度上实现定向辐射。
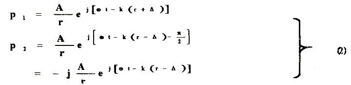
设有A和B两只超低音箱,配置如图1所示。馈以同值、同频的低频纯音信号,但B延时四分之—周期,且令
L=λ/4
考虑到:
1.超低音箱的三维指向特性接近于球形;
2.两箱的相对距离不算太近。
因此,不妨把A、B当作独立的小球源。根据波动方程,A、B在空间产生的声压分别为

式中A为声源振幅;r1、r2分别为A、B到远场Q点的距离(平均距离为r);T为信号周期;k为波数(k=ω/C0)。又,C0为波速。
由于r>>L,在远场有

但r1、r2,对位相的影响不能忽略。由图1可见

并考虑到(ωT/4)=π2,(1)式可改写为

根据迭加原理,Q点的声压应为:


由式可得辐射指向特性

其图象如图2所示,可见指向了一侧。上述原理可推广至多只音箱。

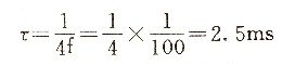
图3为用三只BOSE 502B实现定向辐射的情形(计算机声场仿真)。502B的频响范围为63—126Hz,中心频率f约为100Hz。令每两只音箱(A与B、B与C)相距四分之一波长,即

式中L为两只音箱之间的距离,C。为声速,f为音箱中心频率。
同时,令激励B、C的信号相继延时四分之一周期,即

式中τ为相继延迟时间。
在图3中,灰度表示相对声级(白色为最高声级)。作为对比,图4给出没有延时的情况。
必须指出,以上办法仅适用于窄带辐射。

文章:youk [1970/01/01 19:07]
评论
