铝骨架取代KAPTON骨架的应用
1970/01/01 19:08 点击:885 / 回复:0
王齐祥 王红兵 林珂
内容提要 对KAPTON骨架和铝骨架这两种常用的扬声器音圈骨架进行了比较。
关键词 KAPTON骨架 铝骨架 声压级压缩
扬声器的音圈骨架有诸多材质,这里不逐一列说。铝片(黑铝片和黄铝片)因其综合性能较好,在大功率扬声器单元中得到了广泛应用(几十瓦以上)。后来研究人员将KAPTON材料应用到扬声器中作为音圈骨架,由于其具有质量轻、硬度高、耐高温等宝贵的优点,众多厂家纷纷采用KAPTON骨架,大有取代铝骨架之势。然而,在我们的实验中发现: KAPTON骨架并不一定是最佳的,在某些场合下综合性能比铝骨架要差。
事件起缘于最近某客户对我公司一声柱产品(下简称声柱)的投诉。投诉内容是:声柱使用半年左右即开始损坏。我们对此作了调查分析,并作了改进实验,最后用铝骨架代替KAPTON骨架,较理想地解决了问题。下面介绍声柱的改进实验过程,来比较铝骨架和KAPTON骨架。
我们对问题声柱解剖和统计的结果是,烧毁低音单元音圈的占了九成以上。声柱为100V/70V输入,额定功率为40W,高、低音两路分频,其中低音单元(下称单元)额定功率为30W;单元口径为8寸;PP盆;KAPTON骨架;音圈为35.5芯,线面12mm。
我们用1.5倍额定功率对生产线上的一批声柱进行了为期一周的老化,未发现异常,问题陷入僵局。后来深入对该客户调查了解到,施工人员将声柱70V的输入端子接到100V的定压广播线路上,因为这样输出的声压级会更大一些!
施工人员的上述做法违规之嫌。根据功率公式P=U2/R,声柱70V端子输入100V时,功率将增大到原来的(100V/70V)2≈2倍!我们模拟施工人员的上述做法在生产线上老化一批声柱,结果在2个小时内开始出现故障。要补充的是,用户所使用的广播功放在设计时通常留有较大的功率裕量,在此种用法下也能正常工作。
根据问题症结所在,解决方案有两种:一是限制使用者将声柱的70V端输入100V电压,这比较难办,因为用户的习惯是不太容易改变的;另一种办法是,在保证成本和性能大致不变的情况下,提高声柱的承受功率,使声柱的70V端输入100V电压亦能长期正常工作。
提高声柱承受功率的关键在于提高单元的承受功率。如何提高单元的承受功率,我们做过多种方案尝试。
首先想到的是在磁隙内加上磁液。通过研发团队交流,此方案在理论上就予以否定:磁液固然可以提高散热能力,但可能在音圈运动时飞溅出来;且担心时间久了会干。
其次是改善单元散热通道。在单元上开了很多通风孔,以利散热。通过音圈测温仪,我们测量得到内部一些较为准确的温度数据:(实验环境温度为27ºC。)
原有单元在2倍额定功率条件下工作2小时,音圈温度为223ºC;开孔的单元在2倍额定功率条件下工作2小时,音圈温度为201ºC;继续加大到3倍功率,很快闻到有焦味,解剖观察到音圈烧黑。当时的温度是267ºC。
实验说明开孔是有效的,但不足以解决问题。当声柱70V端子长期输入100V,仍有烧毁的可能,仍需寻找更有效的方案。
众所周知,铝骨架的散热性能比KAPTON骨架要好,理应有更高的承受功率。但铝骨架比KAPTON骨架重,在行业里面使用KAPTON骨架代替铝骨架反而是一种趋势。为权衡利弊,我们做了铝骨架和KAPTON骨架的全面对比实验。
表1:KAPTON骨架单元与铝骨架单元的一部分实验数据
|
PK项目
|
铝骨架单元
|
KAPTON骨架单元
|
|
额定功率时的音圈温度
|
113ºC
|
150ºC
|
|
1.5倍额定功率时的音圈温度
|
132ºC
|
180ºC
|
|
2倍额定功率时的音圈温度
|
157ºC
|
223ºC
|
|
3倍额定功率时的音圈温度
|
200ºC
|
5分钟内烧毁
|
|
单元的谐振频率f0
|
45.4Hz
|
46.6Hz
|
|
单元的骨架(含音圈)质量
|
6.2g
|
4.0g
|
|
单元振动系统质量M M
|
16.5g
|
14.3g
|
|
单元灵敏度(1m、1W的声压级)
|
90dB
|
91dB
|
|
单元最大声压级(1m、30W的声压级)
|
103.5 dB
|
104 dB
|
|
骨架(含音圈)价格
|
1.4元
|
1.85元
|
注:实验环境温度为27ºC,老化时间为2小时。
由表1可知,振动系统质量的改变,一方面影响了单元的谐振频率,另一方面影响了单元的灵敏度。对谐振频率的影响较容易控制;但对灵敏度的影响却需重视。最大声压级也有变化,而且与灵敏度的变化不一致,这个在后面分析。
我们首先分析一下振动系统质量的改变对扬声器声压频响特性的影响。扬声器声压频响表达式为:
(
)(1)

式中B为磁气隙中的磁感应强度,L为音圈导线的有效长度,U为放大器的输出电压,SD为锥盆的有效辐射面积,ƒ为扬声器的有效频率,
为空气密度,
,
为扬声器与观察点之间的距离,
为放大器的内阻,
为音圈直流电阻,
为角频率,
(
),
为音圈电感,
为扬声器的机械损耗电阻,
为扬声器的辐射阻抗,
为振动系统的质量,
为支撑系统的顺性。
扬声器声压频响特性可分为4段来分析,参见图一。

图1 理想化的扬声器声压频响曲线
第一段:在位于振动系统力学共振频率以下的频段,这是支撑顺性控制区。此时可以忽略
,
和
,式(1)得到如下形式:
在此情况下,
的变化可以改变响应的斜率,声压随频率的平方而变化。
第二段:在扬声器振动系统力学共振条件下,也就是
时:
这个区域中的声压正比于频率,出现的
说明此时是力阻控制,根据实际,这个区域大概为
频宽,例如
=100Hz,那么频宽就是70~130Hz。
第三段:在高于共振频率区域上,当系统由质量控制时,可以忽略
,
,
项,于是可得的频率特性方程为:
这个扩展到高频前的区域称为中频区域。这是典型的
质量控制区,
越大,声压越低。这个区域里声压与频率无关。
第四段:如果假定,在这个区域里 那么式
>>
(1)变成下列形式:
在这种情况下,在质量惯性作用下声压随着频率ƒ的增高而减少。
综上所述,我们得知振动系统质量的改变对声压频率特性有如下影响:
在第一、第二段,振动系统质量的改变对声压频率特性几乎没有影响;
而在第三段,通过分析式(4)知,振动系统质量与对应的声压成反比关系。设
为KAPTON骨架单元的声压,
为铝骨架单元的声压,参考式(4),振动系统质量的改变引起灵敏度的变化为:

注:“
”为灵敏度的改变量。其中“
”指Level of Sensitivity。
对于我们测试的单元而言,替换音圈骨架后,振动系统质量从14.3g变为16.5g,代入式(6),灵敏度的变化应为:
第四段与第三段类似。声压与振动系统质量成反比关系外,同时还与信号频率成反比关系。推导得出振动系统质量的改变引起灵敏度变化的表达式同式(6),过程略。
观察表1中数据,KAPTON骨架单元比铝骨架的灵敏度高1dB。考虑到在在第一、第二段两者的灵敏度相等,第三、四段相差1.24 dB,总体灵敏度确实应相差1dB左右,这表明分析结论与实测结果相当吻合。最后给出测得的单元的频响曲线比较,如图2:

图2 KAPTON与铝骨架音圈扬声器灵敏度曲线图
图中,灰色曲线:KAPTON骨架;黑色曲线:铝骨架。
至此,振动系统质量的改变对单元声压频率特性的影响已分析完毕。观察表1数据和图2曲线,可发现KAPTON骨架单元比铝骨架单元的灵敏度要高,这是设计人员普遍赞赏KAPTON的一个缘由。但观察表1会见到一个有趣的现象:KAPTON骨架单元的最大声压级比铝骨架的仅高0.5 dB,这又是为什么呢?乃因音圈发热引起扬声器声压级压缩所致。
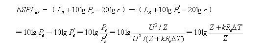
扬声器音圈在吸收电功率而发热时,其直流会电阻变大,进而导致单元吸收的电功率减少,最终引起输出声压级下降(“声压级压缩”)。扬声器在自由场所产生的声压级为:
直流电阻随温度的改变,导致音圈吸收电功率变化,例如从
变为
,则声压级的变化为:
,则声压级的变化为:
式中,
为金属温度系数;
为扬声器的模阻抗,较音圈直流电阻
略大一些,为便于计算,这里可取
=1.1
;再查资料知铜音圈的金属温度系数
=0.0039,可得:

式(7)是因音圈发热引起扬声器声压级压缩的表达式。在额定功率下,KAPTON骨架单元和铝骨架单元的温升分别为123ºC和86ºC,分别代入式(7),可得两者声压级分别压缩了1.55 dB和1.14 dB。亦即:由于温升的影响,额定功率下KAPTON骨架单元比铝骨架单元的声压级多压缩0.41dB。
考虑到铝骨架单元灵敏度低1dB,故KAPTON骨架单元比铝骨架单元的声压级仅应高1dB-0.41dB=0.59 dB。由于测量误差,表1中KAPTON骨架单元比铝骨架单元的声压级仅高0.5 dB,是比较接近的。
我们最终采纳了用铝骨架代替KAPTON骨架的方案,同时增强单元的散热通道。
改进后,声柱的承受功率确实明显提高,而扬声器的失真等指标无显著变化。文章的结尾,要感谢广州国光厂的俞锦元总工,他在此次实验中作了重要的指导。例如,俞总工提出,要注意音圈的温升是否会导致铝骨架与PP盆的结合部发生脱离。我们实验得知:确实要保持适当的骨架高度,使音圈到PP盆之间有一段距离,形成散热梯度。我们在铝骨架与PP盆之间的粘合胶里埋入了热电偶温度探头,测得改进后的单元在3倍功率下该点的温度小于87ºC,处于安全工作范围内。
参考文献:
[1]:《扬声器设计与制作》 俞锦元 广东科技出版社 2007.1
[2]:《大功率扬声器的强制风冷实验》王齐祥 2007年声频工程学术交流年会
文章:youk [1970/01/01 19:08]
评论
相关文章
- 5英寸完美监听音箱 惠威CES发布神秘新品
- 调频广播发射、接收应用技术优缺点分析
- 新世纪公共广播技术
- 从PALM展看数字音频处理与网络传输平台技术
- 公共广播系统的发展趋势
- 铝骨架取代KAPTON骨架的应用
- 数字音频技术在公共广播中的应用
- 公共广播虚拟可变形声柱
- 数据传输的差错控制技术在多媒体公共广播系统中的应用
- 数字网络广播技术问答
- iDste数字广播、多媒体系统融合方案
- 下一阶段的无线广播数字化—以网络为中心的方案
- 公共广播卫星同步基准时钟
- 无线调频音箱入户 突破县级广播发展瓶颈[转]
- 高声压校准器 CA905
- 一线通多频共缆点对点广播
- 和多媒体系统融合的 校园数字广播系统
- 康信达iDste数字校园广播系统
