提高声频功率放大器效率的方法
1970/01/01 19:07 点击:672 / 回复:0
内容提要 本文讨论一种供电电源电压跟随输出功率变化的声频放大方案,其效率远高于传统的乙类放大器,可实现的效率至少在80%以上,理论上可接近100%。
关键词 放大电路 管耗 效率
随着音响技术的发展,人们对放大器输出功率的需求也越来越大,从以前的几十瓦到现在的几百瓦几千瓦,甚至上万瓦。于是,对放大器的效率也提出了更高的要求。提高放大器的效率即等于降低了功率管的管耗,从而可减少功率管的开销,并降低对放大器的供电系统、散热系统等的要求。
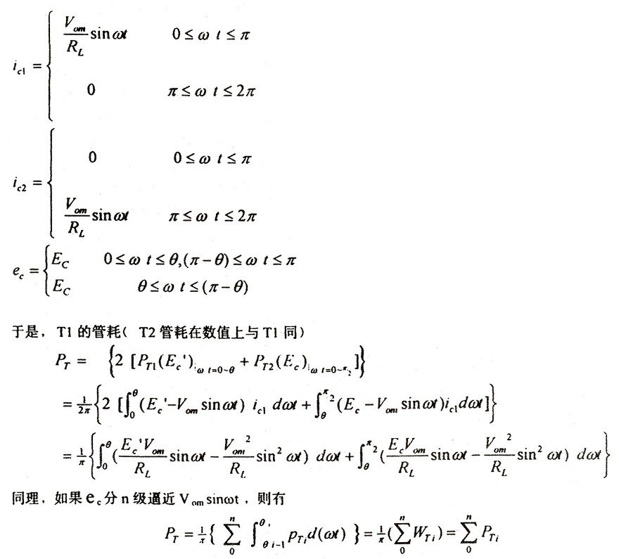
根据传统的摸拟放大概念,为了获得不失真输出,理论上声频功率放大器的最高效率为78.5%(乙类满功率状态)【1】。影响效率的最主要因素是管耗。乙类互补功放一侧输出管的管耗为
式中Ec为供电电源电压,Vom为输出电压幅值,Rc为等效负载电阻。
由式(1)可见,如果令Ec完全跟随着输出电压变化,即令Ec的瞬时值
Ec=Vomsinωt (2)
则式(1)中的被积函数即为零。也就是说,这时没有管耗,因而效率将达到100%,但式2是不可能实现的,实际上大功率管至少需要2V左右的管压降。再说,如果能使Ec完全跟随Vomsinωt,则供电电源本身就可以直接驱动负载,功放的效率问题就变成电源的效率问题。但是,令Ec分级逼近Vomsinωt则完全是可行的,并且不会额外地引进电源的效率问题。
图1为令Ec分两级逼近Vomsinωt的情形。其中(a)为电原理图,(b)为满功率工作波形图。

图1 Ec分两级逼近V0
由图1,在忽略基极电流和交越真的条件下有


另外,由图1得知满功率时输出功率为 

效率为 

图2给出Ee2分2级逼近满功率输出的实际电路。该电路由A、B两组互补功率管组成,A组管为TA1和TA2,使用l/2Vcc供电;B组管TBl,和TB2,使用Vcc供电。Vil\与Vi2交流等电位即等于Vi2。在静态或输出电压V0不是很大时,开关管K1和K2导通,B组管的基极对发射极信号短路因而处于截止状态,只有A组管工作:当输出电压V0达到一定值,(接近+1/2Vcc),Ra1,与Ra2上的分压使开关管K1与K2截止;B组管开始工作,保持输出电压V0继续上升。直至输出电压值大于十1/2Vcc时,A组管的集电极与发射极之间的电压反向(所以用了二极管D1、D2,防止V0向+1/2Vcc倒流),电路完全切换到B组管工作。根据式(5)(6)(8)(9),令n=2.可算出图2的效率为习η2=84.2%
图2 n=2的电路图
在图2中为了使ec,分2级逼近输出电压,使用了两组常规电源(因而没有额外的电源效率问题),但此法不是唯一的。例如,还可以用输出电压的采样值,在供电电源的交流侧控制可控硅的导通角,实现ec的分级逼近。
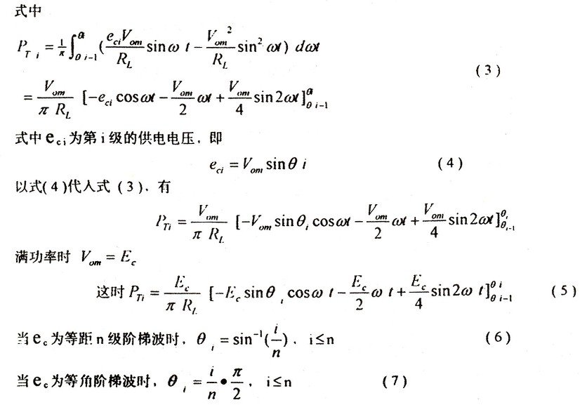
根据式(5)、(6)、(8)、(9),可以算出ec用n级等距阶梯波逼近满功率输出时的效率(如表1)。根据式(5)、(6)、(8)、(9),可算出ec用n级等角阶梯波逼近的效率(如表2)。
表1 n级等距逼近
|
N
|
1
|
2
|
3
|
4
|
|
η
|
78.5%
|
84.2%
|
93.5%
|
95.6%
|
表2 n级等角逼近
|
N
|
1
|
2
|
3
|
4
|
|
η
|
78.5%
|
90.8%
|
94.3%
|
96.2%
|
由表1、表2可见,当n=4时,效率已相当可观。当然,随着电源级数n的增加,电路将变得复杂,但如果能开发出相应的控制模块,则仍有其实用价值。
顺便指出,使用Ec完全跟随声频输出直接驱动负载也是可行的,例如图3。这里把声频信号作为开关电源的等效电压,于是开关电源的输出即可直接驱动声频负载。系统的效率就是开关电源的效率(可达到90%左右)。由于开关电源通常按PWM方式工作,因此这实际上就是PWM声频功率放大器。

图3 PWM 功放
梁富华
文章:youk [1970/01/01 19:07]
评论
