大功率声频放大器的整流供电问题
1970/01/01 19:07 点击:840 / 回复:0
黄瑞哲 钟恭良
[摘要]鉴于传统的单相全波整流-电容滤波电路用于大功率功放会有许多问题,本文定义“电源电压利用系数”和“广义电压调整率”两个新指标作为讨论的向导,并提出用三相整流电路(可无滤波电容)为大功率功放供电。
随着技术的进步以及公众活动规模的发展,声频功率放大器(俗称功放)的输出功率越来越大,千瓦级的功放已不鲜见。供电电路是大功率功放中一个值得探讨的问题。其中包括性能、效率、造价、体积等等问题。本文不打算全面讨论这些问题,仅就传统的单相全波整流-电容滤波电路在大功率功放中所面对的问题作一些讨论。
一、对功放整流电路主要指标的思考
从传统出发,整流电路的主要指标有:直流输出电压U=,额定直流输出功率P=,脉动系数s(或纹波因数δ),输出电压调整率γ等。
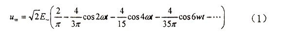
以单相全波整流为例,其输出电压 U=的波形如图l所示。把U=展开为富氏级数,

式中E~为输出脉动电压的有效值,忽略整流器内部压降,即是整流器输入交流电压的有效值。右面第一项为整流输出脉动电压的平均值(直流分量),也即是直流输出电压U=:其余各项为各次谐波分量。根据式(1),立得单相全波整流的U=、s和 δ :
U==0.9E~, s =O.67, δ =0.48
至于额定直流输出功率P= 则取决于整流变压器和整流元件的容量:输出电压调整率γ取决于整流器的内阻。若忽略该内阻,则γ=100%。

尽管单相全波整流的直流输出电压为0.9E~,但由图l可见,它完全不能作为声频功率放大器的电源使用。关键是该电压的谷点等于0,使得在谷点附近功放完全失去了工作电压。为了解决这个问题,必须加入滤波电容。加入滤波电容之后,整流器的各项指标几乎完全依赖于滤波电容C同等效负载电阻RL形成的时间常数τ =CRL。
有滤波电容之后,单相全波整流输出电压的波形如图2实线所示。这时,可供功放使用的电压为谷点电压E= 。E=小于用输出直流分量定义的U=。显然,功放不能以高于供电电源谷点电压的任何值作为其额定工作电压,所以作为声频功放的整流电源,可用电压应为E=,传统的指标U=已失去工程意义。为此,我们定义一个新的指标“电源电压利用系数p=可用电压/输入交流电压有效值=E=/E~ (2)
p当然是越大越有利。众所周知,当τ=(5-10)T[T为u=的脉动周期]时,单相全波整流-电容滤波电路的E=≈1.2E~,这时p≈1.2;当滤波电容C值极大而使τ趋于无限大时,E=≈1.414 E~,p≈1.414;而当滤波电容C=0时,E==0,p也等于0。可见滤波电容改善了p,但p对滤波电容的依赖性极大。

加入滤波电容后,单相全波整流的s、δ和γ全都发生了重大的变化。s、δ将随着γ的增大而改善。对于已经基本过时的单端功放, s、δ的改善有很重要的意义,因为它对交流声有重要影响。不过,对于现时流行的各种平衡型的声频放大电路,电源的纹波仅属共模干扰,除了仪用电路外,其影响可以忽略,因而可不予讨论。
值得注意的是输出电压调整率的变化。由于是负载等效电阻的函数,当输出开路时,即使滤波电容C的值极小,τ也趋于无穷,这时E=升至输入交流电压的峰值,即E=≈1.414E~。倘满载时仍满足 τ =(5-10)T,则其电压调整率为
γ≈1.2E~/1.414 E~ = 0.85
显然,当滤波电容C取值不足时,电压调整率将会恶化。电压调整率恶化意味着空载电压很高,可能危及功率管以及大容量滤波电容的安全。实际上我们不能只考虑常规的电压调整率,而应考虑交流输入电源过压时的空载电压是否能为功率管和大容量滤波电容所接受。因此,为使电压调整率对工程有更直接的指导意义,我们为功放整流电路再定义一个新指标“广义电压调整率Γ”,
Γ = E =/E = m
式中,E =为交流输入电源欠压时的满载可用电压,它必须满足功放对电源供电电压的要求,所以即是功放额定电源电压;E =m为交流输入电源过压时的空载电压峰值。
对于单相全波整流-电容滤波电路,若交流电源有±△的电压波动,并考虑到电源变压器的电压调整率为γ~,同时忽略整流管的内阻,则有

式(6)表明,就整流电路本身而言,Γ完全取决于p。因此至关重要的是尽可能提高p。若以常规条件p=1.2,±△=±△0%,γ~=95%代入式(6),则单相全波整流一电容滤波电路的
Γ = 0.66 (7)
综上所述,单相全波整流-电容滤波的质量极度依赖于滤波电容。当取τ=(5—10)T时,其电源电压利用系数p=1.2;考虑到电源、元器件的常规条件,其广义电压调整率Γ=0.66。有必要指出,在工程上τ =(5-10)T属优化条件,因为进一步增大τ时投资将直线上升而p和Γ的改善则不会太大。所以上述指标已是单相全波整流一电容滤波电路的上限。
二、大功率单相全波整流一电容滤波电路的困惑
目前,各种音频功率放大器绝大多数使用单相全波整流-电容滤波电路供电。这种供电电路十分成熟而且计算方便、结构简单。但其供电质量极度依赖于滤波电容。这在小功率电路中并无大碍,而在千瓦级的功放中,则会成为一种负担。
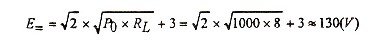
以OCL型音频功率放大器为例,设其额定负载为RL=8Ω;额定输出功率为P0=1000W。考虑到末级功放管的饱和压降约为3V,则单端直流供电额定电压应为
单相全波整流的纹波周期T=10ms,按电容滤波的惯例,取滤波电路的时间常数,为纹波周期的5—10倍(现取8倍),则滤波电容的容量应为

电容器以及功率管的耐压值应不小于交流电源过压时的空载电压E=m。在常规条件下,根据式(3)和式(7),得E=m=E=/Γ=130/0.66=197V。取电容及管的耐压值为200V。
大家知道,大容量电容器的耐压值不容易做得很高,10000μF/200V的电容一般须用4只10000μF/100V的电容串并联解决。功放需要正、负两组电源,因此须用8只这样的电容,其体积和价格开销都十分可观;耐压200 V的大功率管也价值不菲,而且不易配对。此外,电容滤波电路充电电流的导通角很小,冲击电流很大,对于整流元件以及电网都十分不利。
另一方面,大功率的单相电源接插件也成问题。甲乙类大功率功放的总效率约为65%,照此推算,1千瓦功放须索取1540瓦的电源功率,相应地须用10~15A的插头/座。这已经接近单相电源通用接插件的上限,功率再大就成其为问题。
三、三相全波整流供电的可行性
1995年笔者之一曾经提出,“千瓦级以上功放用三相整流供电是适宜的”。
三相全波整流电路如图3,其输出电压波形如图4。

由图4可见,即使不用滤波电容也可以直接为功放供电。这时的可用电压
E==(1.414E~)sin60°=1.225E~ (8)
式中E~为变压器次级线电压有效值。由此得其电源电压利用系数和广义电压调整率
p=1.225≮1.2, Γ=0.67 (9)
略优于单相全波整流-电容滤波,τ=(5-10)T时的指标。而由于无须滤波电容,不仅节约了投资,减少了体积,且其指标将不会由于容量不足而恶化[式(9)是下限],也不会形成冲击电流尖峰。
当然,三相整流电路也可以使用滤波电容。由于其脉动周期仅为单相全波整流的三分之一(3.3ms),脉动系数仅为0.057,所以只须不大的电容量就会使p值有较大的改善。p值改善了Γ值自然也改善,从而电容和功率管的耐压值也可以降下来。
由于使用大功率功放的场合通常是专业场合,三相电源应不成问题。因此,将三相全波整流电路作为大功率功放的电源是可行的。当前,千瓦级的小功率三相变压器暂时较难解决,可用三只单相变压器代替。不过倘若三相功放成为时尚,则不会成为问题。对于具有输出变压器的广播功放,三相变压器完全可以取消。
用开关电源为大功率功放供电也是好办法,但那是另一个话题。
文章:youk [1970/01/01 19:07]
评论
